- Test
-
Laborverbauchsmaterial & Geräte
-
Produktgruppen
- Allgemeiner Laborbedarf
- Rühren, Schütteln, Mischen
- Liquid Handling
- Probenvorbereitung
- Destillieren, Trennen, Filtrieren
- Kälte- und Wärmetechnik
- Vakuumtechnik, Trocknung, Trockenlagerung
- Optische Instrumente und Mikroskope
- Reinigung und Sterilisation
- Umwelt-, Boden-, Wasser-, Lebensmittelanalytik
- Life Science
- Chromatographie
- Hersteller
- Aktionen
-
Produktgruppen
- Laborchemikalien
- Labormöbel
- Ionenaustauscher - Regeneration
- Dip Slides
- Service
- Arbeitsschutz, Sicherheitstechnik
- Analytisches Messen und Testen
- Reinraum
Zur Verbesserung der Flüchtigkeit, Erhöhung der thermischen Stabilität oder Erzielen einer niedrigeren Nachweisgrenze in der GC Voraussetzung: quantitative, schnelle und reproduzierbare Bildung nur eines Derivates durch Derivatisierung eingeführte Halogenatome (z.B. Trifluoracetate) ermöglichen eine spezifische Detektion (ECD) mit dem Vorteil höherer Empfindlichkeit Elutionsreihenfolgen und Fragmentierungsmuster in der MS können durch gezielte Derivatisierung beeinflusst werden.Wir liefern Reagenzien zur Silylierung - Alkylierung (Methylierung) AcylierungDie Acylierung mit fluorierten Säureanhydriden eignet sich für Alkohole, Phenole, Carbonsäuren, Amine, Aminosäuren und Steroide unter Bildung von flüchtigen, stabilen Derivaten sowohl für FID als auch für ECD Detektion.Nebenprodukt der Acylierung mit Anhydriden: entsprechende Säure.Überschüssiges Reagenz und entstandene Säure sind zu entfernen.Heptafluorbuttersäureanhydrid (HFBA)M.G. 410,06 · Kp 106 - 107 °C (760 mm Hg),C3F7 - CO - O - CO - C3F7Dichte d20°/4° = 1,665
Zur Verbesserung der Flüchtigkeit, Erhöhung der thermischen Stabilität oder Erzielen einer niedrigeren Nachweisgrenze in der GC Voraussetzung: quantitative, schnelle und reproduzierbare Bildung nur eines Derivates durch Derivatisierung eingeführte Halogenatome (z.B. Trifluoracetate) ermöglichen eine spezifische Detektion (ECD) mit dem Vorteil höherer Empfindlichkeit Elutionsreihenfolgen und Fragmentierungsmuster in der MS können durch gezielte Derivatisierung beeinflusst werden.Wir liefern Reagenzien zur Silylierung - Alkylierung (Methylierung) AcylierungBSTFA, N,O-Bis-trimethylsilyl-trifluoracetamidM.G. 257,4 · Kp 40 °C (12 mm Hg) · Dichte d20°/4° = 0.961starker Trimethylsilyl-Donator mit etwa der selben Donatorstärke wie das nichtfluorierte Analogon BSAVorteil von BSTFA gegenüber BSA: flüchtigere Reaktionsprodukte, was besonders für die GC-Analyse niedrigsiedender TMS-Aminosäuren hilfreich ist.BSTFA ist unpolar (weniger polar als MSTFA) und kann zur Verbesserung der Löslichkeit mit Acetonitril gemischt werden. Zur Silylierung von Fettsäureamiden, gehinderten Hydroxylgruppen und schwieriger zu silylierenden Verbindungen wie sekundären Alkoholen und Aminen empfiehlt sich ein Gemisch von BSTFA mit 1 % Trimethylchlorsilan (TMCS), das als SILYL-991 angeboten wird.Derivatisierungsmittel sind aufgrund ihrer Bestimmung sehr reaktive Substanzen. Sie sollten daher kühl und unter Feuchtigkeitsausschluss gelagert werden.Die Derivatisierungsmittel werden in Probengläsern mit Bördelkappen zur Entnahme mit der Injektionsspritze geliefert. Probengläser mit durchstochener Dichtung sind nur begrenzt haltbar und sollten schnellstens verbraucht werden.
Zur Verbesserung der Flüchtigkeit, Erhöhung der thermischen Stabilität oder Erzielen einer niedrigeren Nachweisgrenze in der GC Voraussetzung: quantitative, schnelle und reproduzierbare Bildung nur eines Derivates durch Derivatisierung eingeführte Halogenatome (z.B. Trifluoracetate) ermöglichen eine spezifische Detektion (ECD) mit dem Vorteil höherer Empfindlichkeit Elutionsreihenfolgen und Fragmentierungsmuster in der MS können durch gezielte Derivatisierung beeinflusst werden.Wir liefern Reagenzien zur Silylierung - Alkylierung (Methylierung) AcylierungMSTFA, N-Methyl-N-trimethylsilyl-trifluoracetamidM.G. 199,1 · Kp 70 °C (75 mm Hg) · Dichte d20°/4° = 1.11Das flüchtigste aller Trimethylsilylamide.Sehr starker TMS-Donator, der selbst bei tagelangen Mess-Serien die Brennkammer des FID nicht merklich verschmutzt.Die guten Lösungseigenschaften können durch Zugabe protischer Lösemittel im Unterschuss (z.B. TFA bei extrem polaren Verbindungen wie Hydrochloriden) oder Pyridin (z.B. für Kohlenhydrate) gesteigert werden.Derivatisierungsmittel sind aufgrund ihrer Bestimmung sehr reaktive Substanzen. Sie sollten daher kühl und unter Feuchtigkeitsausschluss gelagert werden.Die Derivatisierungsmittel werden in Probengläsern mit Bördelkappen zur Entnahme mit der Injektionsspritze geliefert. Probengläser mit durchstochener Dichtung sind nur begrenzt haltbar und sollten schnellstens verbraucht werden.
Zur Verbesserung der Flüchtigkeit, Erhöhung der thermischen Stabilität oder Erzielen einer niedrigeren Nachweisgrenze in der GC Voraussetzung: quantitative, schnelle und reproduzierbare Bildung nur eines Derivates durch Derivatisierung eingeführte Halogenatome (z.B. Trifluoracetate) ermöglichen eine spezifische Detektion (ECD) mit dem Vorteil höherer Empfindlichkeit Elutionsreihenfolgen und Fragmentierungsmuster in der MS können durch gezielte Derivatisierung beeinflusst werden.Wir liefern Reagenzien zur Silylierung - Alkylierung (Methylierung) AcylierungTMSH (0,2 M in Methanol) M.G. 94.06
Zur Verbesserung der Flüchtigkeit, Erhöhung der thermischen Stabilität oder Erzielen einer niedrigeren Nachweisgrenze in der GC Voraussetzung: quantitative, schnelle und reproduzierbare Bildung nur eines Derivates durch Derivatisierung eingeführte Halogenatome (z.B. Trifluoracetate) ermöglichen eine spezifische Detektion (ECD) mit dem Vorteil höherer Empfindlichkeit Elutionsreihenfolgen und Fragmentierungsmuster in der MS können durch gezielte Derivatisierung beeinflusst werden.Wir liefern Reagenzien zur Silylierung - Alkylierung (Methylierung) AcylierungWelches Methylierungsmittel ist für Ihre Probe am besten geeignet?Test-Kit zur Ermittlung der optimalen Akylierung.
Zur Verbesserung der Flüchtigkeit, Erhöhung der thermischen Stabilität oder Erzielen einer niedrigeren Nachweisgrenze in der GC Voraussetzung: quantitative, schnelle und reproduzierbare Bildung nur eines Derivates durch Derivatisierung eingeführte Halogenatome (z.B. Trifluoracetate) ermöglichen eine spezifische Detektion (ECD) mit dem Vorteil höherer Empfindlichkeit Elutionsreihenfolgen und Fragmentierungsmuster in der MS können durch gezielte Derivatisierung beeinflusst werden.Wir liefern Reagenzien zur Silylierung - Alkylierung (Methylierung) AcylierungWelche Art von Derivatisierungsreaktion ist für Ihre Probe am besten geeignet (Alkylierung, Silylierung oder Acylierung)? Testkit zur Ermittlung der optimalen Derivatisierung.
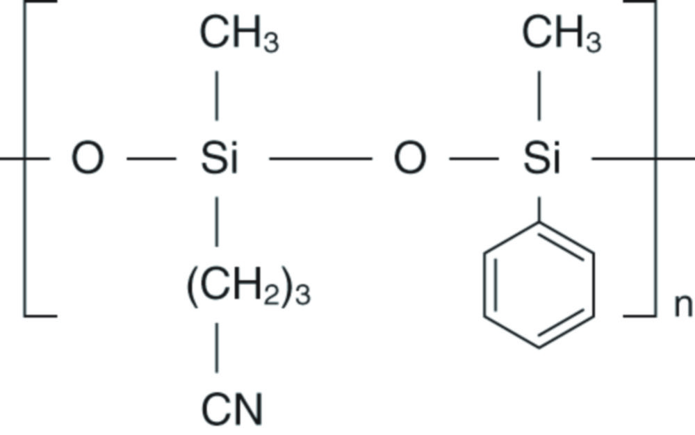
LIPODEX® Cyclodextrinphasen zur EnantiomerentrennungBasismaterial: cyclisches Oligosaccharid aus acht α-1,4-verknüpften Glucoseeinheiten (y-Cyclodextrin) regioselektive Alkylierung und/oder Acylierung der Hydroxylgruppen ergibt lipophile Phasen unterschiedlicher Enantioselektivität, die sich gut zur GC-Enantiomeranalytik eignen; wichtiger Vorteil: viele Verbindungen können ohne Derivatisierung analysiert werden (allerdings kann die Enantioselektivität für bestimmte Substanzen durch Bildung verschiedener Derivate positiv beeinflusst werden)Octakis-(2,6-di-O-pentyl-3-O-butyryl)-γ-cyclodextrin. Empfohlen für α-Aminosäuren, α- und β-Hydroxycarbonsäureester, Alkohole (TFA), Diole (TFA), Ketone, Pheromone (cyclische Acetale), Amine, Alkylhalogenide, Lactone.Max. Temperatur für isotherme Arbeitsweise 200 °CMax. Temperatur für kurze Isothermen in einem Temperaturprogramm 220 °C
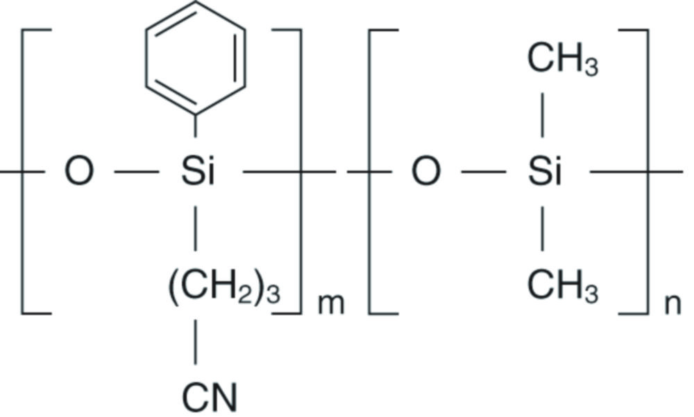
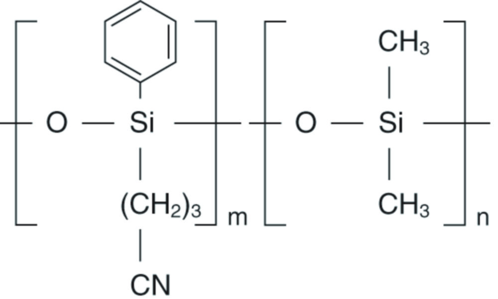
HYDRODEX Cyclodextrinphasen zur EnantiomerentrennungHeptakis-(2,3-di-O-methyl-6-O-t-butyldimethyl-silyl)-β-cyclodextrin. Phase verdünnt mit einem optimierten Polysiloxan empfohlen für γ-Lactone, Cyclopentanone, Terpene, Ester, Tartrate.Max. Temperatur für isotherme Arbeitsweise 230 °CMax. Temperatur für kurze Isothermen in einem Temperaturprogramm 250 °C
HYDRODEX Cyclodextrinphasen zur EnantiomerentrennungHeptakis-(2,3-di-O-acetyl-6-O-t-butyldimethyl-silyl)-β-cyclodextrin. Phase verdünnt mit einem optimierten Polysiloxan empfohlen für Alkohole, Ester, Ketone, Aldehyde, δ-Lactone.Max. Temperatur für isotherme Arbeitsweise 220 °CMax. Temperatur für kurze Isothermen in einem Temperaturprogramm 240 °C
100 % Dimethylpolysiloxanunpolare Phase mit extrem geringem Bluten, ideal für Ion-Trap- und Quadrupol-MS-Detektorenerhöhte Empfindlichkeit durch excellentes Signal-Rauschverhältnisgute Desaktivierung für basische Verbindungenzur Entfernung von Verunreinigungen mit Lösemittel spülbarAnwendungsgebiete: Allround-Phase für die Umweltanalytik, Spurenanalytik, EPA-Methoden, Pestizide, PCB, Lebensmittel- und DrogenanalytikUSP G1 / G2 / G38ähnliche Phasen: Ultra-1, DB-1 MS, HP-1 MS, Rtx-1 MS, Equity™1, AT-1 MS, VF-1 MS, CP-Sil 5 CB MSmax. Temperatur für isotherme Arbeitsweise 340 °C, max. Temperatur für kurze Isothermen in einem Temperaturprogramm 360 °CJede Säule wird einzeln getestet und mit Prüfzertifikat und Testchromatogramm, aber ohne Anschlussfittings oder Ferrules ausgeliefert. Alle Säulen sind an den Enden zugeschmolzen oder mit Septa verschlossen und so gegen Eindringen von Sauerstoff geschützt.Zusätzlich liegt die jeweils verwendete Testmischung bei.
Silarylenphase Mit Polarität ähnlich einer 5 % Diphenyl - 95 % Dimethylpolysiloxan-PhaseGeringstes Säulenbluten, unpolare Phase, ideal für Ion-Trap- und Quadrupol-MS-DetektorenZum Entfernen von Verunreinigungen mit Lösemittel spülbarAnwendungsgebiete: Allround-Phase für die Umweltanalytik, Spurenanalytik, EPA-Methoden, Pestizide, PCB, Lebensmittel- und DrogenanalytikUSP G27 /G36ähnliche Phasen: DB-5 MS, HP-5 MS, Ultra-2, Equity-5, CP-Sil 8 CB low bleed/MS, Rtx-5SIL-MS, Rtx-5 MS, 007-5 MS, BPX5, MDN-5S, AT-5 MS, VF-5 MSMax. Temperatur für isotherme Arbeitsweise 340 °C,Max. Temperatur für kurze Isothermen in einem Temperaturprogramm 360 °Cfür Säulen mit Filmdicken > 5,5 mm betragen die max. Temperaturen 320 bzw. 340 °CJede Säule wird einzeln getestet und mit Prüfzertifikat und Testchromatogramm, aber ohne Anschlussfittings oder Ferrules ausgeliefert. Alle Säulen sind an den Enden zugeschmolzen oder mit Septa verschlossen und so gegen Eindringen von Sauerstoff geschützt.Zusätzlich liegt die jeweils verwendete Testmischung bei.
Phenylmethylpolysiloxan (50 % Phenyl)mittelpolare Phasebevorzugte Anwendungsgebiete: Steroide, Pestizide, DrogenanalytikUSP G3ähnliche Phasen: OV-17, DB-17, HP-50+, HP-17, SPB-50, SP-2250, Rtx-50, CP-Sil 24 CB, 007-17, ZB-50max. Temperatur für isotherme Arbeitsweise 320 °C, max. Temperatur für kurze Isothermen in einem Temperaturprogramm 340 °Cfür Säulen mit 0,53 mm ID betragen die max. Temperaturen 300 bzw. 320 °CAußer dem hier aufgeführten Standardprogramm liefern wir gerne auch Säulen nach Kundenspezifikation.
14 % Cyanopropyl-phenyl - 86 % Dimethylpolysiloxan mittelpolare Phasebesondere Selektivität durch hohen CyanopropylanteilReferenzsäule zur Strukturabklärung, z.B. in Kombination mit OPTIMA 5Filmdicken ≥ 1 µm für die LösemittelanalytikUSP G46ähnliche Phasen: OV-1701, DB-1701, CP™Sil 19 CB, HP-1701, Rtx-1701, SPB-1701, 007-1701, BP10, ZB-1701max. Temperatur für isotherme Arbeitsweise 280 °C, max. Temperatur für kurze Isothermen in einem Temperaturprogramm 300 °CSäulen nach Kundenspezifikation auf Anfrage erhältlich.Jede Säule wird einzeln getestet und mit Prüfzertifikat und Testchromatogramm, aber ohne Anschlussfittings oder Ferrules ausgeliefert. Alle Säulen sind an den Enden zugeschmolzen oder mit Septa verschlossen und so gegen Eindringen von Sauerstoff geschützt.Zusätzlich liegt die jeweils verwendete Testmischung bei.
50% Cyanopropylmethyl - 50% Phenylmethylpolysiloxanmittelpolare Phaseempfohlen für die FettsäureanalytikUSP G7 / G19ähnliche Phasen: DB-225, HP-225, OV-225, Rtx-225, CP-Sil 43, 007-225, BP225max. Temperatur für isotherme Arbeitsweise 260 °C, max. Temperatur für kurze Isothermen in einem Temperaturprogramm 280 °CSäulen nach Kundenspezifikation auf Anfrage erhältlich.Jede Säule wird einzeln getestet und mit Prüfzertifikat und Testchromatogramm, aber ohne Anschlussfittings oder Ferrules ausgeliefert. Alle Säulen sind an den Enden zugeschmolzen oder mit Septa verschlossen und so gegen Eindringen von Sauerstoff geschützt.Zusätzlich liegt die jeweils verwendete Testmischung bei.
Polyethylenglykol-2-nitroterephthalsäureesterannähernd USP G25 / G35polare Phaseempfohlen für FAME, freie Carbonsäurenähnliche Phasen: PERMABOND FFAP , DB-FFAP, HP-FFAP, CP-Sil 58 CB, 007-FFAP, CP-FFAP CB, Nukolfür Säulen mit 0,10 - 0,32 mm ID ist die max. Temperatur für isotherme Arbeitsweise 250 °C, die max. Temperatur für kurze Isothermen in einem Temperaturprogramm ist 260 °Cfür Säulen mit 0,53 mm ID betragen die max. Temperaturen 220 bzw. 240 °CSäulen nach Kundenspezifikation auf Anfrage.Jede Säule wird einzeln getestet und mit Prüfzertifikat und Testchromatogramm, aber ohne Anschlussfittings oder Ferrules ausgeliefert. Alle Säulen sind an den Enden zugeschmolzen oder mit Septa verschlossen und so gegen Eindringen von Sauerstoff geschützt.Zusätzlich liegt die jeweils verwendete Testmischung bei.
5 % Diphenyl - 95 % DimethylpolysiloxanUnpolare Phase mit geringem Bluten, ideal für GC/MS- und ECD-Anwendungen und allgemeine Analytik im Spurenbereich, gute Desaktivierung für basische Verbindungen.Ähnliche Phasen: DB-5, HP-5 MS, Ultra-2, Equity-5, CP-Sil 8 CB low bleed/MS, Rtx-5SIL-MS, Rtx-5 MS, Rxi-5 MS, 007-5 MS, BPX5, MDN-5S, AT-5 MS, VF-5 MS. Max.Temperatur für isotherme Arbeitweise 340 °C, max. Temperatur für kurze Isothermen in einem Temperaturprogramm 360 °CSäulen nach Kundenspezifikation auf Anfrage erhältlich.Jede Säule wird einzeln getestet und mit Prüfzertifikat und Testchromatogramm, aber ohne Anschlussfittings oder Ferrules ausgeliefert. Alle Säulen sind an den Enden zugeschmolzen oder mit Septa verschlossen und so gegen Eindringen von Sauerstoff geschützt.Zusätzlich liegt die jeweils verwendete Testmischung bei.
speziell desaktiviert für die Analytik polyfunktioneller Amine, wie z.B. Ethanolamine, amino-funktionalisierte Diole und ähnliche, in der chemischen Grundstoffindustrie verwendete Substanzgruppen, die auf standard-desaktivierten Säulen starkes Tailing zeigen; ähnliche Phasen: Rtx-5 Amine, PTA-5; USP G27 / G36; verbesserte Linearität bei Bestimmungen aktiver Komponenten im Spurenbereich: keine Aminabsorption bei aliphatischen und aromatischen Aminen selbst bei Konzentrationen von 100 pg/Peak; getestet mit der OPTIMA® Amin Testmischung, die unter anderem Diethanolamin und Propanol-pyridine enthält (diese Testmischung liegt jeder Säule bei)max. Temperatur für isotherme Arbeitsweise 300 °C, max. Temperatur für kurze Isothermen in einem Temperaturprogramm 320 °C.
100 % Dimethylpolysiloxanunpolare Phase Trennung von Komponenten nach dem Siedepunkt ≥3 µm Filmdicke besonders für die Lösemittelanalytik.USP G1/G2/G38.Ähnliche Phasen: PERMABOND® SE30, OV-1, DB-1, SE-30, HP™1, SPB™1, CP-Sil 5 CB, Rtx-1, 007™1, BP1, MDN™1, AT-1, ZB-1, OV-101.Für Säulen mit 0,25 - 0,32 mm ID und Filmdicken
5 % Phenyl - 95 % MethylpolysiloxanUSP G27, G36 unpolare Standardphase mit großem Anwendungsbereich ähnliche Phasen: PERMABOND® SE-52, SE-54, SE-52, DB-5, HP-5, SPB-5, CP-Sil 8, Rtx-5, 007-5, BP5, MDN-5, AT-5, ZB-5 für Säulen mit 0,1 - 0,32 mm ID und Filmdicken
Polyethylenglycol 20 000 DaltonUSP G16polare Phaseempfohlen für die Lösemittelanalytik und Alkoholefür wässrige Lösungen geeignetähnliche Phasen: PERMABOND® CW 20 M, DB-Wax, Supelcowax, HP-Wax, HP-INNOWAX, Rtx-Wax, CP-Wax 52 CB, Stabilwax, 007-CW, BP20, AT-Wax, ZB-WaxFür Säulen mit 0,25 - 0,32 mm ID beträgt die max. Temperatur für isotherme Arbeitsweise 240 °C, max. Temperatur für kurze Isothermen in einem Temperaturprogramm 250 °C.Für Säulen mit 0,53 mm ID betragen die max. Temperatur 220 bzw. 240 °C.Säulen nach Kundenspezifikation auf Anfrage erhältlich.Jede Säule wird einzeln getestet und mit Prüfzertifikat und Testchromatogramm, aber ohne Anschlussfittings oder Ferrules ausgeliefert. Alle Säulen sind an den Enden zugeschmolzen oder mit Septa verschlossen und so gegen Eindringen von Sauerstoff geschützt.Zusätzlich liegt die jeweils verwendete Testmischung bei.
6 % Cyanopropyl-phenyl - 94 % Dimethylpolysiloxanmittelpolare Phaseempfohlen für die UmweltanalytikUSP G43ähnliche Phasen: HP-624, HP-VOC, DB-624, DB-VRX, SPB-624, CP-624, Rtx-624, Rtx-Volatiles, 007-624, BP624, VOCOLmax. Temperatur für isotherme Arbeitsweise 280 °C, max. Temperatur für kurze Isothermen in einem Temperaturprogramm 300 °CSäulen nach Kundenspezifikation auf Anfrage erhältlich.Jede Säule wird einzeln getestet und mit Prüfzertifikat und Testchromatogramm, aber ohne Anschlussfittings oder Ferrules ausgeliefert. Alle Säulen sind an den Enden zugeschmolzen oder mit Septa verschlossen und so gegen Eindringen von Sauerstoff geschützt.Zusätzlich liegt die jeweils verwendete Testmischung bei.
6 % Cyanopropyl-phenyl - 94 % Dimethylpolysiloxanmittelpolare PhaseUSP G43Säule mit geringem Bluten für halogenierte Kohlenwasserstoffe (LHKW), leichtsiedende Substanzen, aromatische Verbindungen, Lösemittel etc.ähnliche Phasen: HP-624, HP-VOC, DB-624, DB-VRX, SPB-624, CP-624, Rtx-624, Rtx-Volatiles, 007-624, BP624, VOCOLmax. Temperatur für isotherme Arbeitsweise 280 °C, max. Temperatur für kurze Isothermen in einem Temperaturprogramm 300 °CSäulen nach Kundenspezifikation auf Anfrage erhältlich.Jede Säule wird einzeln getestet und mit Prüfzertifikat und Testchromatogramm, aber ohne Anschlussfittings oder Ferrules ausgeliefert. Alle Säulen sind an den Enden zugeschmolzen oder mit Septa verschlossen und so gegen Eindringen von Sauerstoff geschützt.Zusätzlich liegt die jeweils verwendete Testmischung bei.
5% Phenyl-Polycarboran-Siloxan. Ultrahochtemperatur-Säulen für simulierte Destillationsanwendungen, allgemeine Kohlenwasserstoffprofile, Pestizide, Herbizide und für GCMS-Anwendungen.
Stickstoff-Generatoren für die GC. Zur sicheren kontinuierlichen Erzeugung von Stickstoff mit einem Reinheitsgrad von 99,9995%.Zur bedarfsgerechten Erzeugung von Stickstoff als Spülgas und zur Probenvorbereitung bei StandardanalysenKompaktes, modulares und stapelbares SystemKonstante und gleichmäßige Versorgung für verlässliche und reproduzierbare AnalysenIndividuell kombinierbar mit PEAK-Wasserstoff- und Nullluft-GeneratorenKeine Verunreinigungen des SystemsSehr schnelle Startzeit und schnelles Erreichen der geforderten BetriebsreinheitSysteme mit verschiedenen Durchflussmengen erhältlichGenerator für Headspace-Anforderungen erhältlich, kompatibel mit den meisten Headspace-ProbengebernSehr geringer WartungsaufwandLieferumfang: Stickstoffgenerator, 1 m PTFE-Schlauch, 1/4"-Klemmverschraubung, 1/8"-Klemmverschraubung, Netzkabel für EU, UK und USSpezifikationenReinheit:99,9995 %Gasanschluss:1/4"Zulässige Umgebungstemperatur:5 ... 35 °CAbmessungen (B x T x H):380 x 540 x 256 mmNetzanschluss:110/230 V, 50/60 HzGarantie:1 Jahr